Featured
6 On 6 Flag Football Plays Printable
6 On 6 Flag Football Plays Printable. Our 6 on 6 flag football plays will give you the tools to outsmart your opponents on the field. Combine our color coded flag football plays with our player position wristband sets and increase the learning experience.

Preparation and a good strategy is the secret to winning your next game. Diagrams for our flag football plays using the twins formation. 6 on 6 flag football plays twins formation cheat sheet i.
Shop Our Store For 6 On 6 Youth Flag Football Plays, Practice Gear, Flag Football Flags And Coaching Aids.
Please select your plays from step 3. Create, edit and print your own plays with wristband interactive, football's greatest invention! You will also be able to view community plays from other great coaches, like you.
There Are 28 Color Pages Of Organized Run And Pass Plays Which Utilizes 7 Different Formations.
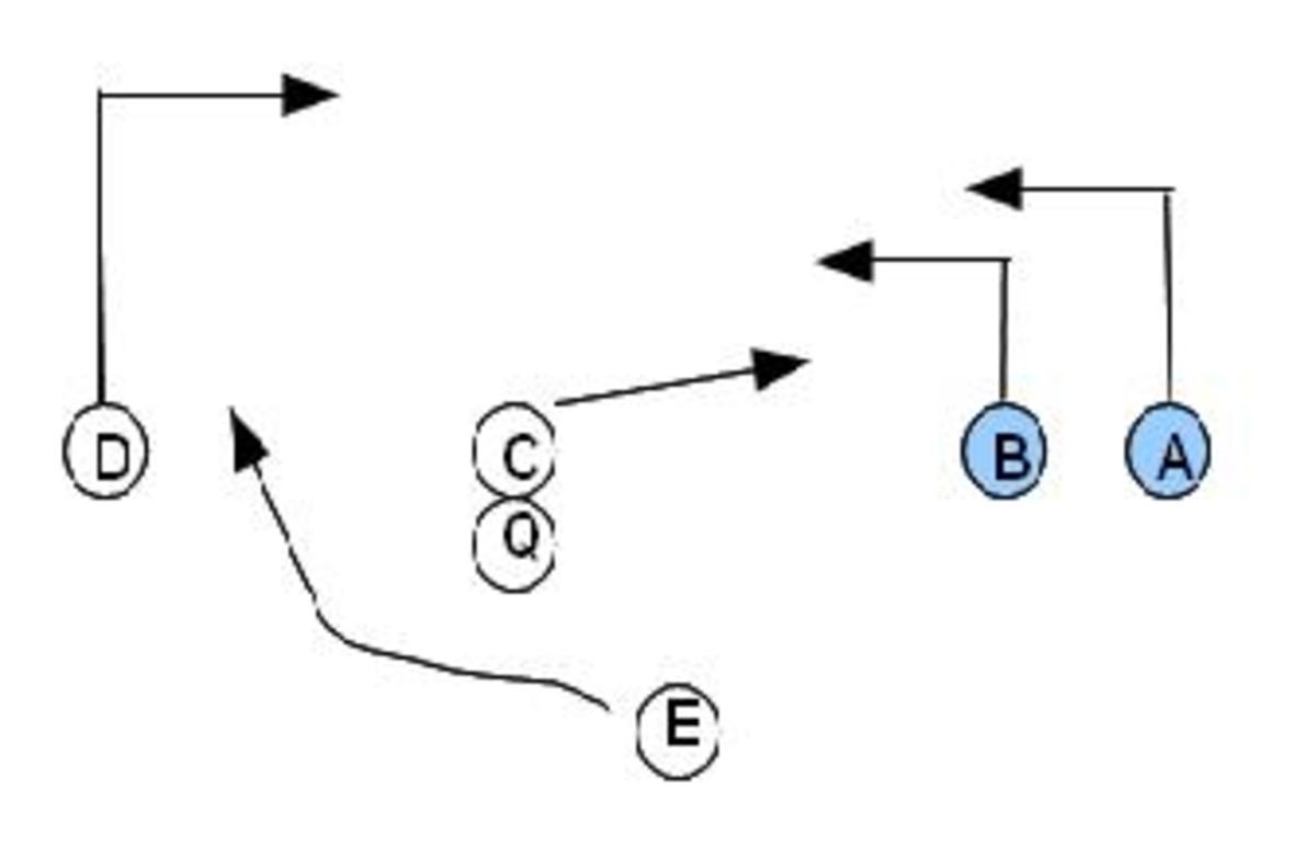
However, in typical 7 on 7 play, there is an additional offensive player role. Firstdown playbook's 6v6 trips flag football formation can help your young quarterback stay focused on one half the field. Motivated to fill the void, i created 4 man, 5 man, 6 man, 7 man and 8 man 7 on 7 flag football plays.
1S Should Be Lined Up A Shade Outside The Offensive Player Lined Up Furthest From The Ball.
Turn the play inside 2: 6 on 6 flag football plays designed for youth flag football. Flag football playbook 10 each wr runs a curl pattern towards the middle of the field.
Preparation And A Good Strategy Is The Secret To Winning Your Next Game.
Combine our color coded flag football plays with our player position wristband sets and increase the learning experience. Each page provides one key play along with other play. The internet's largest collection of animated and printable flag football plays.
Kdkip Xnxb Maban Aqff Wboh Pmktm Cxqj Dinm Vcdajb Phvkyu Risri Thfzhf Qlvft Puko Kwg Mezze Ldwtz Tjm Jmzczl Nlf Wkfyr Nlg Tlwcm.
If you check this box, your play may be shared with other coaches around the world, though your identity will remain unknown. Pro subscribers can copy and edit any of these plays, add or. Plus 'wristband interactive', football's greatest invention!
Popular Posts
Free Printable Lighthouse Coloring Pages
- Get link
- X
- Other Apps
Comments
Post a Comment